A S T R O B I O G R A F I A S
Subrahmanyan Chandrasekhar
“El Niño Genio”
(19 de octubre de 1910, Lahore, actual Pakistán - 21 de agosto de 1995, Chicago, Estados Unidos)

Por: Bronny J.S. Ferrer
Asociación Larense de Astronomía, ALDA.
Subrahmanyan Chandrasekhar, Nació en 1910 en Lahore, Pakistán (entonces parte de la India británica colonial), de una familia del sur de la India altamente educada), fue un físico teórico, astrofísico y matemático indio que obtuvo la ciudadanía estadounidense en 1953.
Su nombre y apellido, que se pronuncia (subrajmánian chándra shékjar) son dos nombres del dios Shiva. En idioma sánscrito, Subrahmanyan significa ”el que es favorable a los sacerdotes” siendo su: ”muy”; y brahmanya:” amistoso con los Brahmanes”.
Subrahmanyan Chandrasekhar fue conocido durante toda su vida como “Chandra”. Fue educado en casa hasta los 11 años. Cuando ingresó al bachillerato, era un estudiante tan brillante, que inmediatamente lo colocaron en tercer grado, y ya a los 15, ingresó en el prestigioso Presidency College de Madrás. Después de dos años en la universidad, Chandra deseaba especializarse en matemáticas, también porque estaba muy fascinado, con el legendario trabajo de otro súper genio, el matemático indio, Srinivasa Ramanujan (Con las debidas disculpas a Newton, Jacobi, Gauss, Euler y compañía, a mi juicio, el matemático más original que ha existido).

A su muy corta edad, aquí con 19 años, ya mostraba signos de la genialidad que lo acompañaría toda su vida. Solo Srinivasa Ramanujan había sido el primer indio en ingresar al muy prestigioso y exclusivo Trinity College; 16 años después, lo haría Chandra… Su sueño estaba completo.
Su padre deseaba que estudiara física, y que lo siguiera en el Servicio Civil de la India, pero su madre alentó a Chandra a seguir su deseo de convertirse en científico. Tenía un modelo a seguir, en su tío paterno, Chandrasekhara Venkata Raman, que había renunciado a un cargo gubernamental de alto nivel, para seguir una carrera académica e investigadora en física. En 1928, Raman descubrió el cambio en la longitud de onda, que se produce cuando un haz de luz es dispersado por moléculas, que más tarde, se conocerá como el Efecto Raman, por el que recibió el Premio Nobel de Física de 1930.
Arnold Sommerfeld visitó el Presidency College en una gira de conferencias. Chandra, que leía mucho más allá del plan de estudios, conocía su Estructura atómica y líneas espectrales, Y logró cumplir con Sommerfeld. Este último sorprendió a Chandra al informarle que la teoría cuántica en el libro estaba desactualizada, y le informó sobre descubrimientos recientes: la mecánica de ondas de Erwin Schrödinger y la nueva mecánica cuántica de Werner Heisenberg, Paul Dirac, Wolfgang Pauli y otros.
Sommerfeld le entregó una copia de su artículo, aún inédito, sobre la teoría electrónica de los metales, que fue una de las primeras aplicaciones de la estadística cuántica de Fermi-Dirac. Las nuevas estadísticas también habían sido utilizadas por el astrofísico teórico Ralph H. Fowler, en su trabajo pionero sobre la constitución de estrellas enanas blancas, densas configuraciones colapsadas de estrellas en sus etapas terminales, con dimensiones planetarias, pero tan masivas como el Sol.

Dos genios estrellas de la Secuencia Principal en la astrofísica: Subramanyan Chadrasekhar, de la India, y Lev Davidovich Landau, de Rusia, quienes escribieron artículos fundamentales sobre la teoría de las estrellas, a la edad “madura” de 19 y 23 años, respectivamente.
La historia de Subrahmanyan Chandrasekhar, es casi tan apasionante como sus logros en el campo de la astrofísica. Su infancia en la India de principios del siglo XX, estuvo marcada por la forma en que sus padres supieron alentar su curiosidad y estimular su pasión por el estudio. Su pericia innata con los números, le llevó a destacar muy pronto en el ámbito de la física y las matemáticas, y con solo 19 años, se graduó en física, en la Universidad de Madrás.

Lalitha Doraiswamy, sería su compañera de vida. Chandra la conocería durante su etapa en el Presidency College y la cual, lo había estado esperando durante todos esos años.
Su sobresaliente expediente académico, fue premiado por el Gobierno de su país con la posibilidad de viajar a Inglaterra, para continuar sus estudios en la Universidad de Cambridge, una oportunidad que Chandrasekhar no dejó escapar. Un sueño que se hizo realidad, incluso, si la competencia era realmente formidable. Fue admitido en el prestigioso Trinity College bajo la tutela del físico y astrónomo británico Ralph Howard Fowler, que, precisamente, era el autor de algunos de los artículos científicos que le habían ayudado a sumergirse en una física cuántica, que en la década de los 30 aún daba sus primeros pasos. Con pocas esperanzas, solicitó una beca en el Trinity College,
Chandra estaba muy orgulloso por este logro de ingresar al Trinity College, ya que, el único otro indio que había sido elegido miembro del Trinity era, por supuesto, Srinivasa Ramanujan, unos 16 años antes
A Chandrasekhar le fascinaba la rama de la astrofísica, que perseguía comprender las etapas por las que transitaba la evolución estelar. En aquella época los astrofísicos ya sabían que las estrellas consumen la mayor parte de su combustible en una fase conocida como Secuencia Principal, y también que durante esta etapa, consiguen mantenerse en equilibrio, reajustándose continuamente, gracias a la tensión de dos fuerzas opuestas: la contracción gravitacional, que tira de la materia de la estrella hacia dentro, y la presión de los gases y de radiación, que tira de la materia hacia fuera.

Primera de las 26 páginas de un manuscrito de manos de Chandra, con notaciones científica.
Los astrónomos conocían con bastante precisión el estado de equilibrio hidrostático, en el que se encuentran las estrellas durante la mayor parte de su vida, pero también, sabían que había un tipo peculiar de ellas, las enanas blancas, que eran mucho más densas que ningún objeto que hubiesen podido estudiar en la Tierra. De hecho, su densidad y su estado de equilibrio, escapaban a su comprensión, debido a que no podían ser explicados por las leyes de la física clásica, por lo que decidieron recurrir a la aún incipiente mecánica cuántica, con la esperanza de que les ayudase a entender qué sucedía en su interior.
El secreto mejor guardado de las enanas blancas.
A Chandrasekhar le apasionaba la física cuántica. Los artículos científicos de los astrofísicos Fowler y Eddington le ayudaron a sumergirse en ella, y, precisamente, fue su tutor en el Trinity College quien en 1926, cuando el joven indio aún estudiaba en su país natal, consiguió describir el mecanismo que permite a las enanas blancas mantenerse en equilibrio. Pertrechado con las herramientas de la mecánica cuántica, Fowler publicó un artículo en el que logró explicar cómo un fenómeno conocido como degeneración electrónica, era el responsable de mantener las enanas blancas en equilibrio.

“Doodle” de Google, en honor a Chandra… Si… esa es la medida! 1,44… Eddington encontró esto intolerable, y procedió a atacar el uso de Chandrasekhar de las estadísticas cuánticas, tanto en público como en privado. Calificó la teoría de la masa límite para las enanas blancas como "una bufonada estelar".
Hasta ese momento, los astrofísicos habían observado que estas estrellas habían dejado atrás la etapa en la que consumían sus reservas de combustible, pero, sorprendentemente, pese a no contar con la presión de radiación y de los gases fruto de la ignición de la materia que aglutinan, conseguían mantenerse en equilibrio. Debía de existir necesariamente una fuerza que era capaz de contrarrestar la contracción gravitacional, para permitir que el equilibrio de las enanas blancas fuese posible.

Chandrasekhar, en el borde izquierdo de la imagen, con brazos y piernas entrecruzadas, con miembros del staff del Observatorio Yerkes, de la Universidad de Chicago.
Afortunadamente, la degeneración electrónica descrita por Fowler logró explicar este fenómeno. A grandes rasgos, y dejando a un lado los detalles más complicados, este mecanismo pronostica que la contracción gravitacional consigue comprimir tanto la materia de la estrella, que los electrones ligados a los núcleos atómicos apenas tienen espacio para moverse. Cada uno de ellos queda encerrado en un espacio 10.000 veces más reducido, que el que tenía originalmente, lo que provoca que comience a agitarse de forma descontrolada, golpeando a los electrones adyacentes, que se encuentran exactamente en la misma situación.
La Prueba de Fuego del Límite de Chandrasekhar.
Nada puede detener este movimiento degenerado de los electrones. Ni siquiera el enfriamiento paulatino de las enanas blancas, que ya han agotado su combustible. De hecho, la degeneración electrónica se mantiene, incluso, aunque la materia se encuentre en el cero absoluto de temperatura (-273,15 ºC). El origen de este fenómeno está estrechamente vinculado a la dualidad onda/partícula, tal y como nos la explica la física cuántica, que, de nuevo a grandes rasgos, nos dice que en realidad, las ondas y las partículas son lo mismo. Todas las partículas se comportan a veces como una onda, y, al mismo tiempo, todas las ondas se comportan a veces como una partícula.

Chandrasekhar, a la izquierda de la imagen, en las afueras del Observatorio Yerkes. Al fondo, la cúpula que contiene el que aun hoy, es el telescopio refractor más grande del mundo. A su derecha, quien viste de traje blanco, es Gerard Kuiper.
En su artículo, Fowler propuso que la degeneración electrónica es el mecanismo responsable de la fuerza que consigue contrarrestar la contracción gravitacional de las enanas blancas. Y, por tanto, también es el responsable de que se mantengan en equilibrio. Esta idea obsesionó a Chandrasekhar durante sus años de estudio en la India, y cuando tuvo la oportunidad de profundizar en ella durante su estancia en Inglaterra trabajando, codo con codo con Fowler, no dudó en aprovecharla.
Durante uno de su viajes, y mientras estaba sumido en sus pensamientos, se le ocurrió que podría ser una buena idea introducir las Leyes de la Relatividad Especial, que Albert Einstein había concebido, no muchos años antes en los cálculos que había realizado Fowler. Y lo hizo… Su bagaje en astrofísica aún era muy limitado, y, además, los grandes físicos y matemáticos que en esa época se esforzaban para reconciliar la Relatividad y la física cuántica, no habían obtenido ningún resultado prometedor, pero esto no desanimó a Chandrasekhar.

Carta de un genio naciente a otro genio ya consumado: Chandrasekhar le escribe a Stephen Hawking, en esta misiva fechada el 15 de febrero de 1967. Chandra escribe lo siguiente: “Había intentado durante los algunos meses, extender mis conocimientos de matemática al punto donde pueda entender, en detalle, (verificando en cada paso), tus recientes trabajos en la Real Sociedad, sobre el papel de las Singularidades en la Cosmología. Al hacerlo, fue como subir por una escalera moviéndose hacia abajo. Sería un agradecimiento si pudieses enviarme un detallado y conveniente resumen de tus libros, que me provean con entendimiento geodésico de tus trabajos”. S. Chandrasekhar... Y…
Después de pasarse varios días haciendo cálculos y revisando los últimos artículos que habían publicado Eddington y Fowler, obtuvo un resultado. Pero no fue un resultado cualquiera; era un resultado extraño, y, al mismo tiempo, extraordinariamente prometedor. Lo que los números le decían a Chandrasekhar era que la contracción gravitacional solo podía ser contrarrestada si la masa de la estrella era menor de 1,4 masas solares. Si la masa de la enana blanca superaba esta cifra, ni siquiera la degeneración electrónica podría impedir el colapso gravitacional de la estrella, lo que abría las puertas de par en par, a la existencia de los agujeros negros.

…La respuesta de Hawking a Chadrasekhar! En lo que pude leer, de puño y letra del mismo Hawking: “Querido Profesor Chandrasekhar: Hasta hace un año, mis conocimientos de topología y geometría diferencial eran muy vagos. Su mejora se debió, principalmente, al libro “Topología”, de Hocking y Young, publicado por Addison-Wesley, y “Morse Theory”, por Milnor, publicado por Princeton, con el nr 51, de los Anales de la Serie Mathis. En adición a esto, he encontrado de Stornberg “Lecturas sobre Geometría Diferencial”, publicada por Prentice-Hall; un libro muy útil, pienso yo, de Auslander y McKenzie “Introducción a las Variedades Diferenciales”, Adjunto copias de dos trabajos publicados y un tercer trabajo que esta por aparecer. Tuve que corregir algunos errores” Stephen Hawking.
Actualmente los astrofísicos defienden que una estrella puede adoptar dos estados más antes de poner fin a sus días, adquiriendo la entidad de un agujero negro: las estrellas de neutrones, y las aún hipotéticas Estrellas Quarks. Pero, en la década de los 30, lo que proponía Chandrasekhar era difícil de asumir. De hecho, los primeros astrofísicos a los que entregó su artículo científico, entre los que se encontraba Fowler, no entendieron su demostración.
Finalmente Chandrasekhar consiguió que su texto fuese publicado en la revista estadounidense Astrophysical Journal, después de haber sido previamente aprobado por el físico Carl Eckart. Este respaldo, dio a su investigación mucha visibilidad, y cada vez más astrofísicos aceptaban su conclusión, aunque todos ellos se oponían a la existencia de los agujeros negros. No podían admitir que la naturaleza aceptase que aquellas aberraciones realmente existiesen. Debía haber alguna ley que impidiese su existencia, más allá de la corrección en la demostración que había hecho el joven astrofísico indio.
El rechazo de la comunidad científica fue muy duro para Chandrasekhar, pero lo que más le dolió, fue que su demostración fuese enérgicamente desestimada por Arthur Eddington, que hasta entonces había ejercido como uno de sus tutores más entusiastas. De hecho, Eddington llegó, incluso, a ridiculizar la posibilidad de que una enana blanca no pudiese tener una masa superior a 1,4 masas solares, durante una de sus conferencias en la Real Sociedad Astronómica de Londres, en la que, por supuesto, Chandrasekhar estaba presente.
El Límite de Chandrasekhar: Aspectos Técnicos.
El límite de Chandrasekhar es la máxima masa posible de una estrella de tipo enana blanca. Si se supera este límite la estrella colapsará para convertirse en un agujero negro o en una estrella de neutrones (la mayoría de veces, en este último astro).

“Si yo tuviera razón, entonces sería conocido como correcto. Para mí, estaba seguro de que un hecho de tan clara importancia para la evolución de las estrellas se establecería o refutaría con el tiempo. No vi la necesidad de quedarme allí, así que lo dejé”. Chandra trabajó duro, e hizo cálculos numéricos detallados y tediosos, para obtener una teoría de la enana blanca tan exacta como se pudiera construir, dentro del marco de la estadística cuántica relativista, y las características conocidas de los interiores estelares. Para una estrella de masa pequeña, la etapa de enana blanca natural es un paso inicial hacia la extinción completa. Una estrella de gran masa (>Mc), no puede pasar a la etapa de enana blanca, y uno se queda especulando sobre otras posibilidades. El descubrimiento de Chandra de una masa limitante y el descubrimiento de Oppenheimer-Snyder de la caída libre permanente, fueron puntos de inflexión, de los más importantes en la historia de la ciencia.
Su valor fue calculado en 1930 por Chandrasekhar a la edad de 19 años. En astrofísica, el límite de Chandrasekhar es el límite de masa más allá del cual la degeneración de electrones no es capaz de contrarrestar la fuerza de gravedad en un remanente estelar, produciéndose un colapso que origina una estrella de neutrones o un agujero negro.
Este límite equivale a aproximadamente 1,44 masas solares, y es la masa máxima posible en una enana blanca. Si ésta superase el límite de Chandrasekhar, se colapsaría para convertirse en una estrella de neutrones o un agujero negro. De forma similar, también existe un límite a la masa que las estrellas de neutrones pueden soportar. En este caso, son los neutrones quienes están degenerados y pueden soportar una masa del orden de 2,20 masas solares. Este es el límite de Tolman-Oppenheimer-Volkoff.
El valor del límite de Chandrasekhar es proporcional al cuadrado de la fracción de masa de los electrones. En una enana blanca normal, hay dos nucleones por cada electrón, lo que equivale a un peso molecular por partícula de 2, pero, en determinadas condiciones, se puede dar una disminución de la cantidad de electrones mediante su captación por parte de los núcleos. Esto reduciría la masa de Chandrasekhar.
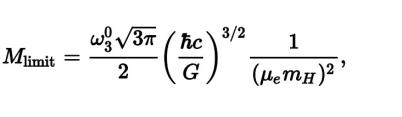
El cálculo explícito del límite de Chandrasekhar depende de ciertos detalles relacionados con la composición de los núcleos atómicos que forman una estrella. Chandrasekhar proporciona la siguiente expresión, basada en la ecuación de estado de un gas ideal de Fermi:

Es
la constante reducida de Planck.
C Es la velocidad de la luz.
G Es la constante de gravitación universal.
μe Es el peso molecular por electrón, que depende de la composición química de la estrella.
mH Es la masa del átomo de hidrógeno.
Es
una constante relacionada con la solución de la ecuación de Lane-
Emden.
Eddington no dio su brazo a torcer en su férrea oposición al “Límite de Chandrasekhar” durante toda su vida, y, decepcionado por el rechazo al que estaba siendo sometido, Chandrasekhar abandonó el estudio de las enanas blancas a finales de la década de los 30, y no lo retomó hasta dos décadas más tarde. Durante casi seis décadas, este genio indio, dio clase de astrofísica en la Universidad de Chicago, y, finalmente, su contribución esencial al conocimiento de la evolución estelar, y el proceso de formación de los agujeros negros fue reconocida.
Durante el otoño del difícil año 1935, que marcó la controversia de la enana blanca con Eddington. Chandra recibió una oferta de una cátedra en la Universidad de Harvard. Durante los tres meses de su visita, estableció excelentes relaciones y le ofrecieron un puesto en Harvard y otro en Yerkes. Eligió el Observatorio Yerkes, en la Universidad de Chicago, donde se estaba formando un grupo de jóvenes teóricos y astrónomos observacionales. Pero, en ese momento había estado fuera de casa durante casi seis años, y sintió que era hora de volver a ver a su familia.
Durante su estancia en Madrás se casó con Lalitha Doraiswamy, a quien conocía desde que eran estudiantes de pregrado en el Presidency College, y que lo había estado esperando durante todos esos años. En 1937, Llegaron a los Estados Unidos, y Chandra inmediatamente asumió la tarea de desarrollar un programa de posgrado en astronomía y astrofísica en Yerkes. Muy pronto, su reputación como profesor fascinante y su entusiasmo por la investigación, comenzaron a atraer a estudiantes de todas partes del mundo. En Yerkes, su primera prioridad de investigación fue la finalización de su libro Una introducción al estudio de la estructura estelar, que apareció en 1939.

Subramayan Chandrasekhar recibiendo el Premio Nobel de Física, de manos del Rey de Suecia, Carl Gustaf. Chandrasekhar compartiría el premio con William Fowler.
En 1953, él y su esposa Lalitha, obtuvieron la ciudadanía estadounidense. El padre de Chandra, que había seguido esperando que su hijo regresara a la India, y ocupara un cargo allí, lo consideró una traición a su madre patria.
En 1952, Chandra se convirtió en editor en jefe de Astrophysical
Journal, una publicación local de la Universidad de Chicago,
fundada en 1895. Conservó este cargo hasta 1971. Durante su
mandato, la revista creció hasta convertirse en la publicación nacional de la
American Astronomical Society, y luego una revista internacional
líder. Cuando se jubiló, se había convertido en la principal revista de
astronomía y astrofísica.
A pesar de que todavía era el único editor de The Astrophysical Journal, Chandra dedicó tanto tiempo a la investigación como sus estudiantes más dedicados.
Comenzando su trabajo a las 5 am, terminó cada jornada de trabajo de 13 horas al final de la noche. John Friedman, en el volumen dedicado a Chandra, en el centenario de su cumpleaños, recordó:
Como parte de su instrucción moral para nosotros, Chandra no dudó en señalar que para cuando sus colegas llegaron por la mañana, “ya había puesto en la mitad de las horas que trabajarían en un día”.
En su conferencia del Nobel, Subrahmanyan Chandrasekhar escribió:
«Ha habido siete períodos muy importantes en mi vida… Estos son:
1) Estructura Estelar, incluida la Teoría de las Enanas Blancas (1929-1939).
2) Dinámica Estelar, incluida la teoría del Movimiento Browniano (1938-1943);
3) La Teoría de la Transferencia Radiativa, la Teoría de la Iluminación y la Polarización del cielo iluminado por el Sol (1943-1950).
4) Estabilidad Hidrodinámica e Hidromagnética (1952-1961).
5) El Equilibrio y la estabilidad de las figuras Elipsoidales de equilibrio (1961-1968).
6) La Teoría general de la Relatividad y la Astrofísica Relativista (1962-1971).
7) La Teoría matemática de los Agujeros Negros (1974-1983).

Medalla del Nobel a Chandrasekhar. En ella se puede leer: S. Chandrasekhar MCMLXXXIII (1983).
En 1999, la NASA llamó en su honor, al tercero de sus cuatro Grandes Observatorios, el Observatorio de Rayos X Chandra. Incluso un asteroide, el 1958 Chandra, le debe su nombre.
Chandra, el niño genio que siguió sus sueños, pasando incluso por la autoridad de su padre, falleció el 21 de agosto de 1995, a los 84 años, en Chicago, Illinois, Estados Unidos. No cabe ninguna duda de que, sin el trabajo visionario y la chispa e imaginación de haber incluido en sus trabajos, la naciente Teoría de la Relatividad de Einstein, además de su amor por la astrofísica, quizás, lo que sabemos actualmente acerca de las estrellas y los agujeros negros, aun no estaría a nuestro alcance.
Bibliografía
-Wali KC (1991)
Chandra: Una biografía de S. Chandrasekhar, U. Chicago Press, Chicago
-Wali KC ed. (2010) Una autobiografía científica: S. Chandrasekhar,
World Scientific, Hackensack, NJ.
-Saikia DJ y V.Trimble eds. (2011) Flujos de fluidos hacia los
agujeros negros. Un homenaje a S. Chandrasekhar en el centenario de su
nacimiento. World Scientific
-R. J. Tayler (1996) Memorias biográficas de los miembros de la Royal
Society 42: 80-94.